Bilangan Berpangkat dan Bentuk Akar
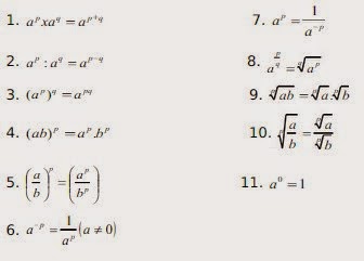
* Bilangan Berpangkat
Pangkat suatu bilangan adalah perkalian suatu bilangan secaraberulang dengan bilangan itu sendiri.

* Sifat sifat bilangan berpangkat
Contoh :
* Akar
Contoh :
Pola, Baris, Deret
*Pola
Pola bilangan dapat diartikan sebagai susunan bilangan yang memiliki keteraturan.
Dalam matematika dikenal beberapa jenis pola bilangan antara lain :
1. Pola bilangan ganjil adalah 1, 3, 5, 7…..
Rumus urutan ke n : 2n-1
2. Pola bilangan genap adalah 2, 4, 6, 8…..
Rumus urutan ke n : 2n
Jumlahdari n bilangan genap pertama adalah n(n+1)
3. Pola bilangan segitiga adalah 1, 3, 6, 10….
Rumus urutan ke n : n(n+1)
2
4. Pola bilangan persegi adalah 1, 4, 9, 16….
Rumus urutan ke n : n2
5. Pola bilangan persegi panjang adalah 2, 6, 12, 20….
Rumus urutan ke n : n(n+1)
6. Pola bilangan segitiga pascal
Rumus jumlah bilangan baris n : 2n-1
*Baris
Rumus suku ke n : Un = b . n + ….. atau Un = b . n – …..
a. Barisan aritmatika
Rumus beda deret baru : b1 = b
k+1
Contoh :
* Deret
Deret Geometri adalah deret dengan rasio antar 2 suku yang berurutan selalu tetap.


Rumus jumlah n =>

<= Rumus rasio deret baru
Contoh :
Perbandingan Bertingkat
Perbandingan adalah membandingkan dua nilai atau lebih dai suatu besaran yang sejenis dan dinyatakan dengan cara sederhana.
* Perbandingan senilai/seharga
Adalah perbandingan dua besaran dimana jika suatu besaran makin besar maka besaran lain juga semakin besar atau sebaliknya.
Rumus :
